cg police promotion : नक्सलियों के खिलाफ वीरता से लड़ने वाले 295 जवानों को आउट ऑफ टर्न प्रमोशन… हवलदार बने ASI, कुछ को मिला इंस्पेक्टर का पद… DGP ने जारी किया आदेश देखें
नक्सलियों के खिलाफ वीरता से लड़ने वाले 295 जवानों को आउट ऑफ टर्न प्रमोशन…
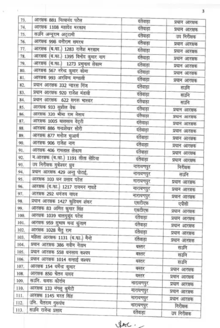
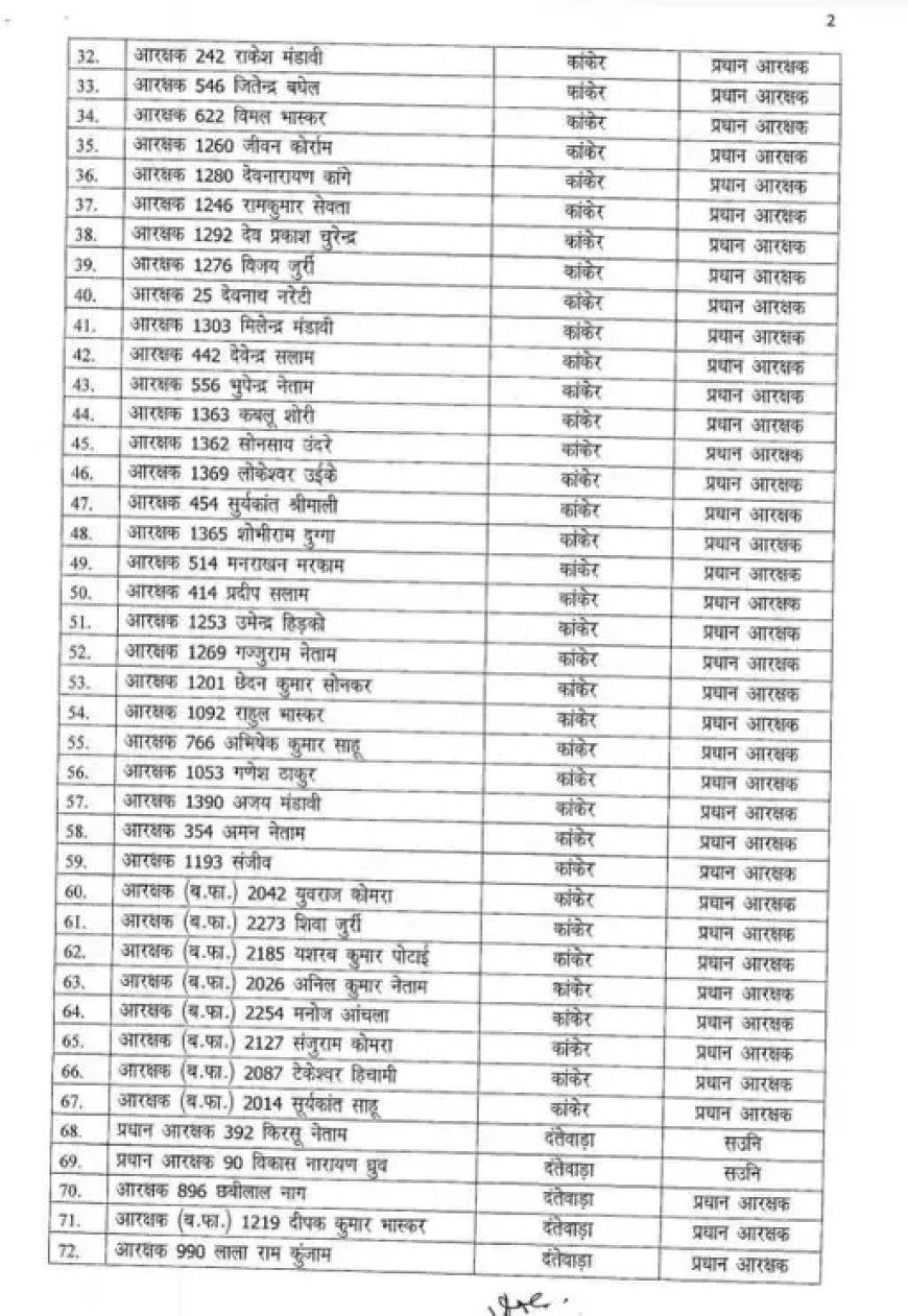
रायपुर। छत्तीसगढ़ में नक्सलियों से बहादुरी के साथ लड़ने वाले 295 जवानों को आउट ऑफ टर्न प्रमोशन दिया गया है। डीजीपी अरुणदेव गौतम ने इसे लेकर आदेश जारी किया है। जिसमें अलग अलग जिलों में पदस्थ 295 सिपाहियों, हवलदारों, एएसआई और सब इंस्पेक्टरों को आउट ऑफ टर्म प्रमोट किया गया है।
What's Your Reaction?





